• Предмет: Алгебра
  • Автор: tmozgovoy
  • Вопрос задан 3 года назад

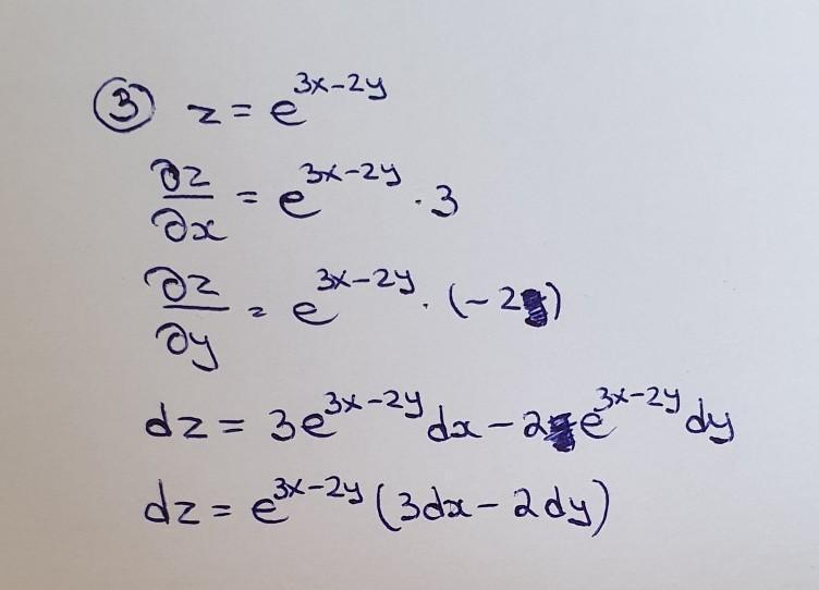
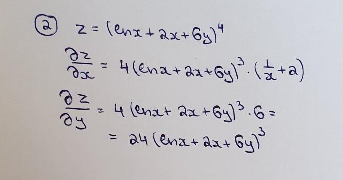
СРОЧНО!!! Нахождение полного дифференциала и частных производных функции нескольких переменных.

Приложения:

Ответы

Ответ дал: Miroslava227
1

Ответ:

решение на фотографиях

Приложения:
Вас заинтересует