• Предмет: Алгебра
  • Автор: ozerovocka
  • Вопрос задан 3 года назад

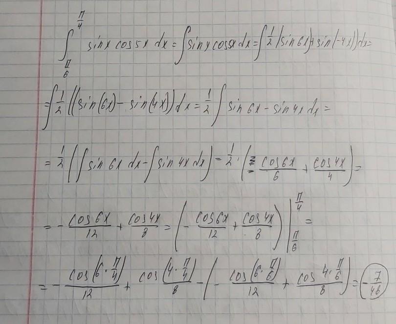
Вычислить интеграл: sinxcos5xdx

Приложения:

Ответы

Ответ дал: aag2109i
1

Ответ смотри во вложении

Приложения:
Вас заинтересует