• Предмет: Математика
  • Автор: Аноним
  • Вопрос задан 3 года назад

Решить 10 вариант, не просто ответ, а именно решение

Приложения:

Аноним: 10 надо, а не 9
Аноним: 1 из 9 ты сделал, а так все правильно
Аноним: Ну ты сделаешь 1 то, ау
Аноним: А нельзя просто перерешать
Аноним: Я уже даже написал что, что еще

Ответы

Ответ дал: Miroslava227
1

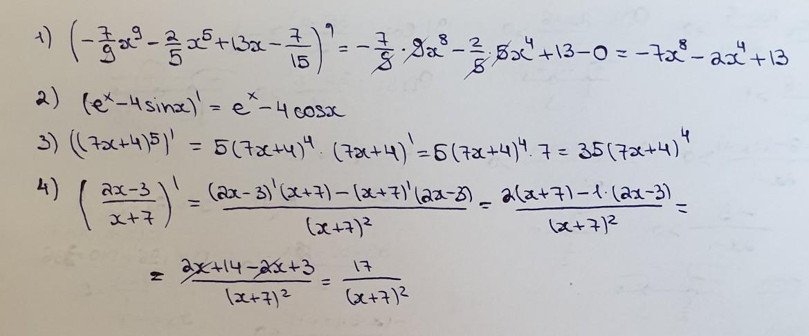
Ответ:

решение на фотографии.

Приложения:

Miroslava227: вы бы лучше прописали, какие функции нужно продифференцировать
Miroslava227: чтобы совсем вопросов не было
Аноним: Ты начал писать правильно 1,а потом начал писать из 9 варианта
Miroslava227: да блин, просто пропишите, какие функции нужны
Miroslava227: и все
Аноним: (-7/9x^9-2/5x^5-2x^2-3/5)
Аноним: Ну ты решишь, нет?
Miroslava227: такое ощущение, что я вам чем-то обязана, хотя в помощи нуждаетесь вы
Аноним: Мирослава 227 поможете с физикой вопрос сейчас задам
Аноним: можете зайти на мой вопрос физика
Вас заинтересует