Ответы
Ответ дал:
0
Ответ:
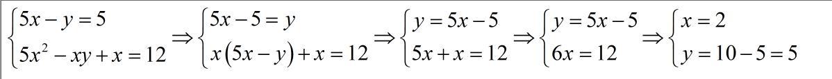
x=2
y=5
Пошаговое объяснение:
ХХХХ///////////////////
Приложения:

Вас заинтересует
2 года назад
2 года назад
2 года назад
2 года назад
8 лет назад
9 лет назад