• Предмет: Математика
  • Автор: Gleban1300
  • Вопрос задан 11 лет назад

24 1/5 какую часть числа составляет.

Ответы

Ответ дал: Аноним
0
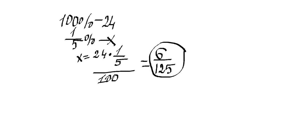
решение во вложении..
Приложения:
Вас заинтересует