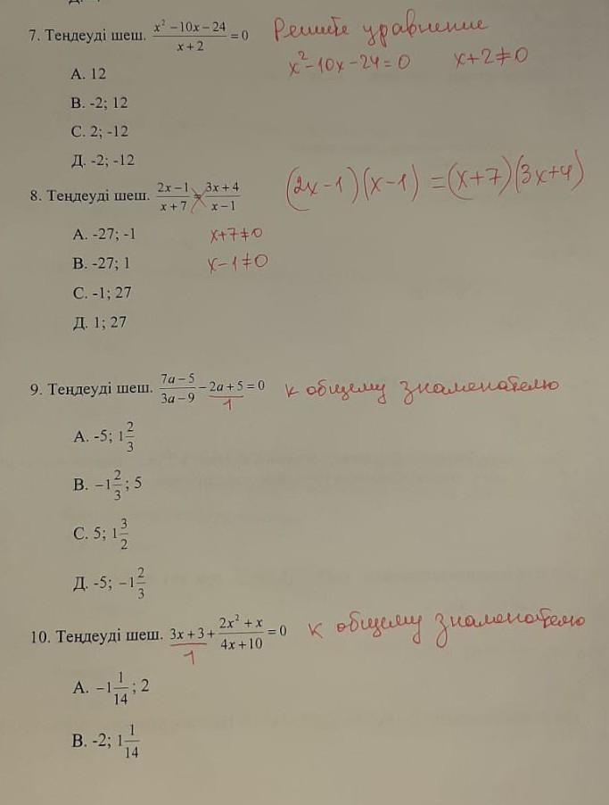
ПОЖАЛУЙСТААА ПОМОГИТЕ!! СРОЧНО НУЖНО!! С ОБЪЯСНЕНИЕМ ПОЖАЛУЙСТА
Приложения:

Аноним:
пожалуйста помогите...
Ответы
Ответ дал:
1
Ответ на прикреплённом файле
Приложения:

Вас заинтересует
2 года назад
2 года назад
8 лет назад
9 лет назад