• Предмет: Алгебра
  • Автор: gorikgo46
  • Вопрос задан 3 года назад

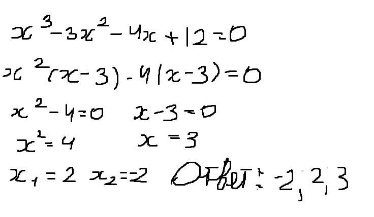
x в кубе -3x в квадрате-4x+12=0​

Ответы

Ответ дал: lokomas1
1

...........................................

Приложения:
Ответ дал: anafina2002a
1

Ответ:

х³-3х²-4х+12=0

х²×(х-3)-4(х-3)=0

(х-3)×(х²-4)=0

х-3=0

х²-4=0

х=3

х=-2

х=2

ответ:х1=3;х2=-2;х3=2

Вас заинтересует