Ответы
Ответ дал:
0
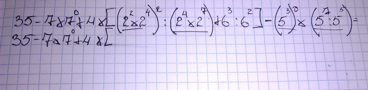
35-7x7⁰+4x[(2²*2⁴)²:(2⁴*2⁷)+6³:6²]-(5³)⁰x*(5⁷:5⁵)=
=35-7x*1+4x[(2²⁺⁴)²:(2⁴⁺⁷)+6³⁻²]-1x*(5⁷⁻⁵)=
=35-7x+4[(2⁶)²:2¹¹)+6¹]-x*5²=35-7x+4x[(2¹²:2¹¹)+6]-25x=35-7x+4x[2+6]-25x=35-7x+32x-25x=35
Здесь надо пользоваться правилом:
1. при умножении двух степеней с одинаковыми основаниями показатели складываются, а основание остаётся тем же
2. при делении двух степеней с одинаковыми основаниями показатели вычитаются, а основание остается тем же.
3. при возведении степени в степень показатели перемножаются, а основание остаётся тем же
4. Любое число в 0-степени равно 1
=35-7x*1+4x[(2²⁺⁴)²:(2⁴⁺⁷)+6³⁻²]-1x*(5⁷⁻⁵)=
=35-7x+4[(2⁶)²:2¹¹)+6¹]-x*5²=35-7x+4x[(2¹²:2¹¹)+6]-25x=35-7x+4x[2+6]-25x=35-7x+32x-25x=35
Здесь надо пользоваться правилом:
1. при умножении двух степеней с одинаковыми основаниями показатели складываются, а основание остаётся тем же
2. при делении двух степеней с одинаковыми основаниями показатели вычитаются, а основание остается тем же.
3. при возведении степени в степень показатели перемножаются, а основание остаётся тем же
4. Любое число в 0-степени равно 1
Вас заинтересует
3 года назад
3 года назад
8 лет назад
8 лет назад
11 лет назад
11 лет назад
11 лет назад
11 лет назад