.
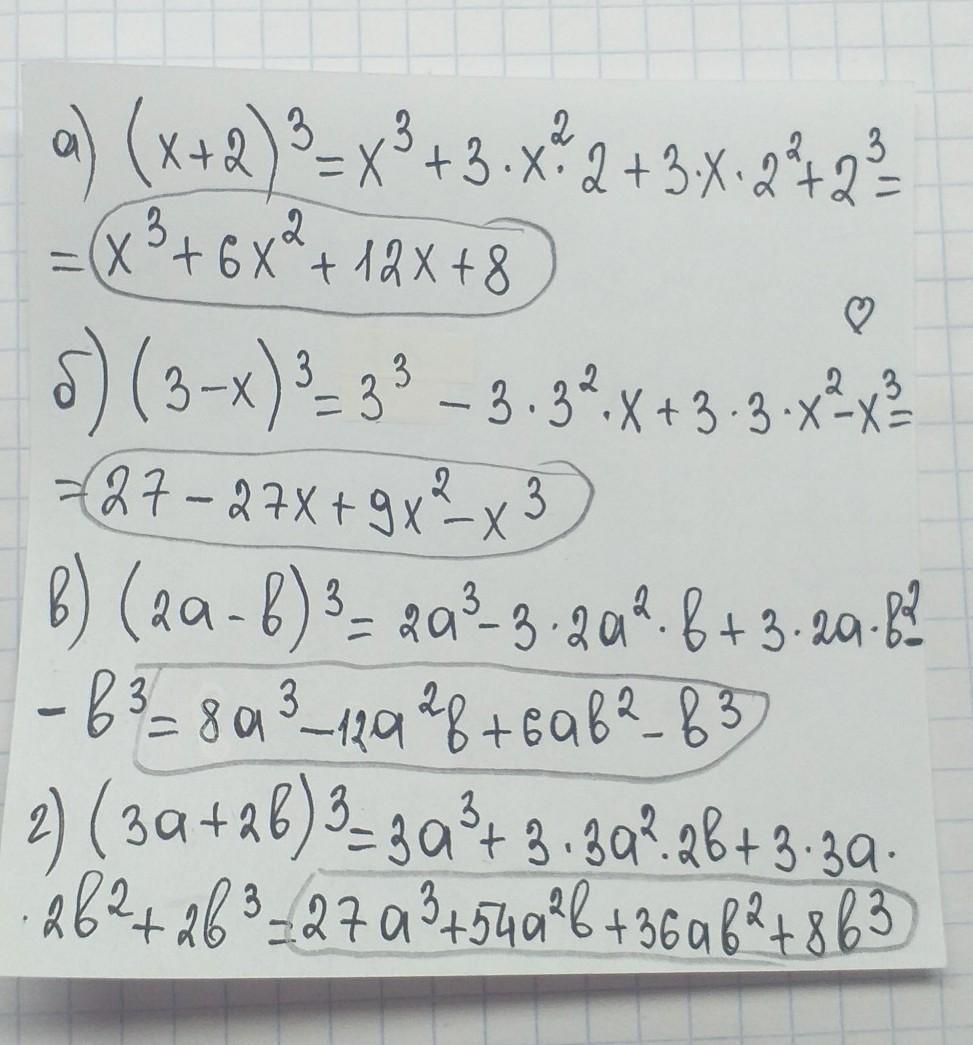
№1. Представить выражение в виде многочлена:
а) (x+2)^3
б) (3 — x)^3 =
в) (2а — b)^3 =
г) (За + 2b)^3 =
помогите пожалуйста
Ответы
Ответ дал:
4
Ответ:
Вот решение и ответ обведенн
Приложения:

Вас заинтересует
2 года назад
2 года назад
8 лет назад
8 лет назад
9 лет назад
9 лет назад