какова площадь поперечного сечения никелинового проволоки длиной 13,75м, из которого изготовлено спираль электронагревательного прибора, если при напряжении 220В сила тока в спирали 4А.
Ответы
Ответ дал:
0
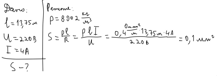
Решение на картинке.
Приложения:
Ответ дал:
0
находим сопротивление по формуле
R= U/I
( сопротивление ровно, напряжение делить на ток, напряжение в вольтах, сопротивление в омах, ток в амперах)
Потом по формуле
R = (r*L)/S
где R- сопротмвление найленное
r - постоянная состовляющая удельное сопротмвление никеля
L- длина в метрах
S - площадь поперечного сечения
R= U/I
( сопротивление ровно, напряжение делить на ток, напряжение в вольтах, сопротивление в омах, ток в амперах)
Потом по формуле
R = (r*L)/S
где R- сопротмвление найленное
r - постоянная состовляющая удельное сопротмвление никеля
L- длина в метрах
S - площадь поперечного сечения
Приложения:
Вас заинтересует
3 года назад
3 года назад
8 лет назад
8 лет назад
11 лет назад
11 лет назад
11 лет назад