• Предмет: История
  • Автор: egor44546
  • Вопрос задан 3 года назад

помогите срочно история​

Приложения:

Ответы

Ответ дал: kamilotncb
1

Ответ:

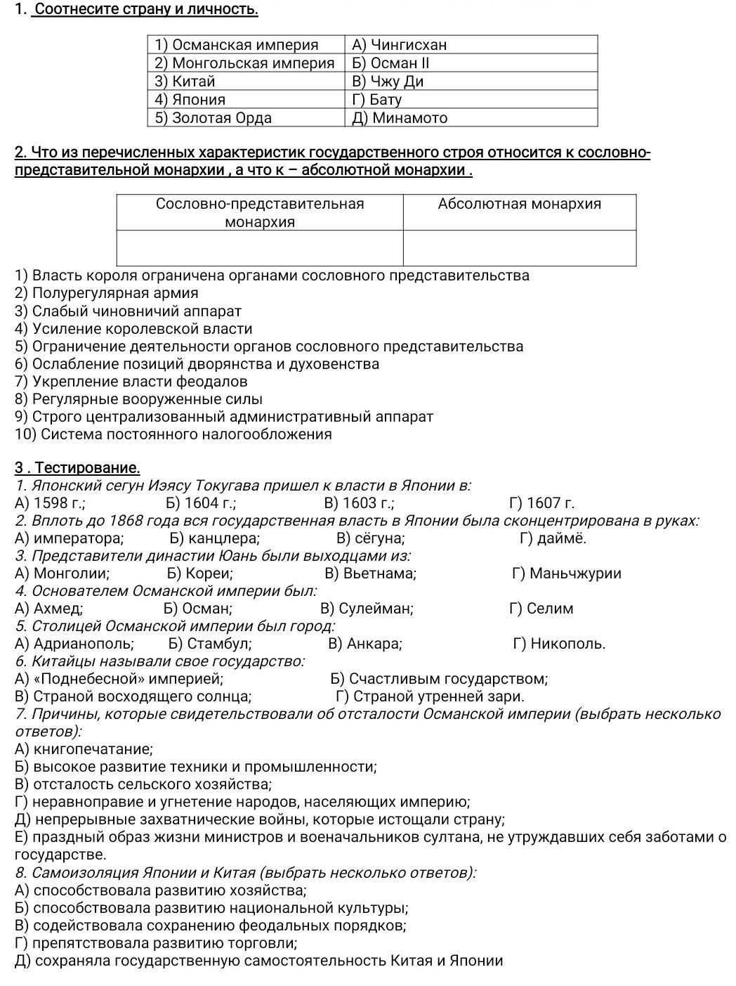
1.

1)-Б

2)-А

3)-В

4)-Д

5)-Г

2.Сословно-представительная монархия

1),2),6),9),3)

Абсолютная монархия

10),4),7),8),5)

3.

1.В

2.В

3.А

4.Б

5.Б

6.А

7.Г,Д,Е

8.В,Г,Д

Вас заинтересует