• Предмет: Математика
  • Автор: valeria2008
  • Вопрос задан 11 лет назад

Решите хотя бы один номер

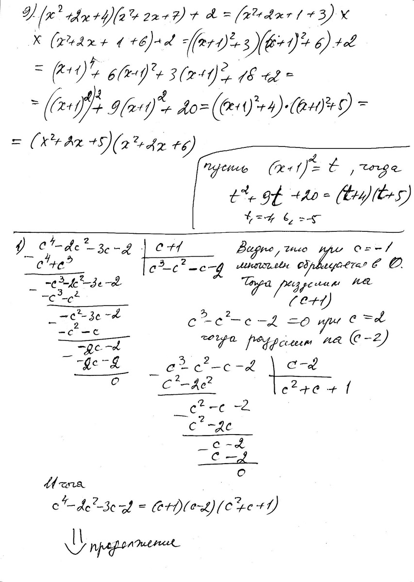
Приложения:

Ответы

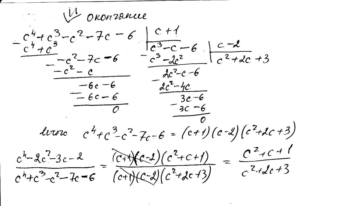
Ответ дал: Vladislav006
0
решение ниже в приложении
Приложения:
Вас заинтересует