• Предмет: Математика
  • Автор: begimaalmazbekova04
  • Вопрос задан 3 года назад

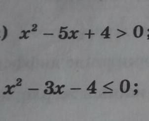
помогите решить уровнении​

Приложения:

Ответы

Ответ дал: saibaarai5341
1

Ответ:

Полностью правильно. Пж Подпишись на меня.

Приложения:
Вас заинтересует