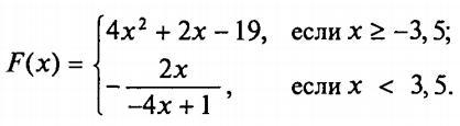
Вычислить значения функций на C++

Приложения:

Ответы

Ответ дал: temerep
1

Відповідь:

#include <iostream>

using namespace std;

int main(){

double y, x;

std::cin >> x;

(x >= -3,5) ? y = 4 * (x * x) + 2x - 19 : (x < 3,5) ? y = -(2x / (-4x + 1)) : return 0;

std::cout << y << std::endl;

}

Вас заинтересует