Помогите пожалуйста решить эти задачи:
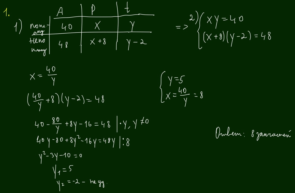
1. Бригада должна была изготовить 40 деталей к определенному сроку. Изготовляя в час на 8 деталей больше запланированного, бригада уже за 2 часа до срока перевыполнила план на 8 деталей. Сколько деталей в час должна была изготовлять бригада по плану?
2. Из пункта А в пункт В, расстояние между которыми 45 км, выехал велосипедист. Через 30 мин вслед за ним выехал второй велосипедист, который прибыл в пункт В на 15 мин раньше первого. Какова скорость первого велосипедиста, если она на 3 км/ч больше скорости второго?
Ответы
Ответ дал:
0
Решение на картинке.
Приложения:


Вас заинтересует
2 года назад
8 лет назад
8 лет назад
10 лет назад
10 лет назад