• Предмет: Алгебра
  • Автор: dimakovaliov7
  • Вопрос задан 10 лет назад

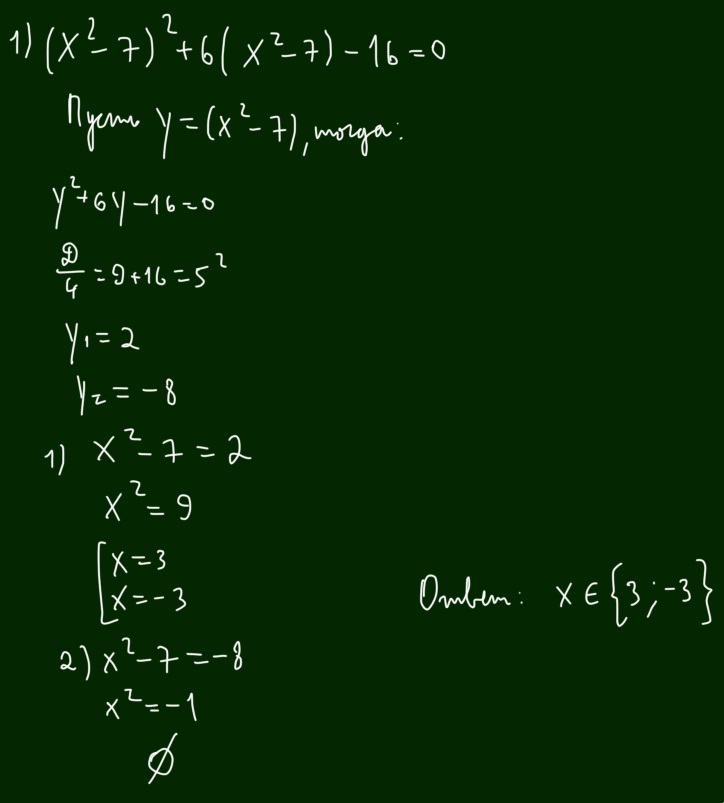
1) (x^2-7)^2+6(x^2-7)-16=0
2) (x^2+3x+1)(x^2+3x+3)=-1

Ответы

Ответ дал: nikolac
0
Второе пока точно не знаю как, может позже добавлю.
Приложения:
Вас заинтересует