Ответы
Ответ дал:
1
Ответ:
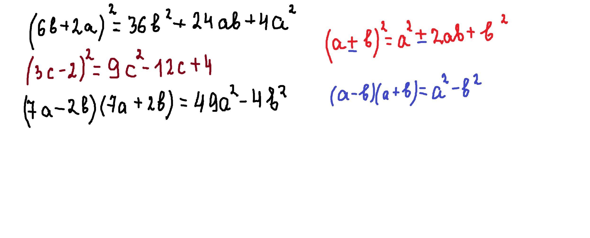
(6b+2a)^2 = 36b^2+24ab+4a^2
(3c-2)^2 = 9c^2 - 12c +4
(7a-2b) * (7a+2b) = 49a^2 - 4b^2
Ответ дал:
1
Ответ:
Объяснение:
применяем формулы сокращенного умножения
Приложения:

Вас заинтересует
2 года назад
2 года назад
2 года назад
2 года назад
8 лет назад
9 лет назад
9 лет назад