• Предмет: Математика
  • Автор: murrr76
  • Вопрос задан 3 года назад

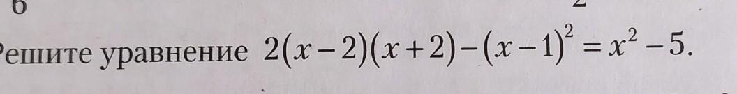
решите уравнение. 7 класс ​

Приложения:

Ответы

Ответ дал: Persisten
0

Ответ:

x=2

Пошаговое объяснение:

2(x^2-4)-(x^2-2x+1)=x^2-5

2x^2-8-x^2+2x-1=x^2-5

x^2-9+2x=x^2-5

2x=-5+9

2x=4

x=2


masha0626: у другому рядку у рівнянні потрібно замість 2х , х^2
Persisten: Чому ж?
Ответ дал: pavelalzhev
0

Ответ:

2

Пошаговое объяснение:

Приложения:

parus77: проверь вторую строчку,там ошибка со знаками,после возведения в квадрат открываем скобку перед которой стоит знак минус.
Persisten: Ахаха, дают лучший ответ неверному решению.. неплохо)
pavelalzhev: После открытия скобки мы получаем x^2-2x+1, но так как перед скобкой стоит минус, мы знаки переворачиваем и получаем соответственно -x^2+2x-1
Persisten: Ахахах, ты еще и исправил, ну вообще молодец... уу
Persisten: Низко поступаешь, конечно, особенно, исправив меня)
Persisten: с меня*.. Ответ был 3. Но хотя, раз исправил, молодец, хоть допер, ха.
pavelalzhev: Друг, я хочу помогать людям, а не гнаться за личными достижениями. Как я знаю, эти "лучшие ответы" никак не монетизируются, поэтому не знаю что ты так всполошился. Сейчас то закреплён верный ответ, так чего переживать?
Persisten: Да я сюда захожу раз в несколько лет посидеть недельку-другую, ты о чем? Просто изначально твоё решение было неверным, потому я чуток всполошился, вот и все.
pavelalzhev: А я наоборот, только сегодня решил попробовать, поэтому по случайности залил сначала неверный. Добра тебе.
Persisten: Взаимно, будь здоров.
Вас заинтересует