Ответы
Ответ дал:
4
Ответ:
В прямоугольном треугольнике медиана, проведенная к гипотенузе, равна половине гипотенузы. Обратная теорема: если медиана равна половине стороны, то треугольник прямоугольный и эта медиана проведена к гипотенузе.
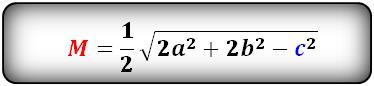
1 формула - Формула длины медианы через три стороны
2 формула - Формула длины медианы через две стороны и угол между ними
Приложения:


anna4334:
а формула есть?
Вас заинтересует
2 года назад
2 года назад
2 года назад
9 лет назад