• Предмет: Алгебра
  • Автор: pavlovvnasta08
  • Вопрос задан 3 года назад

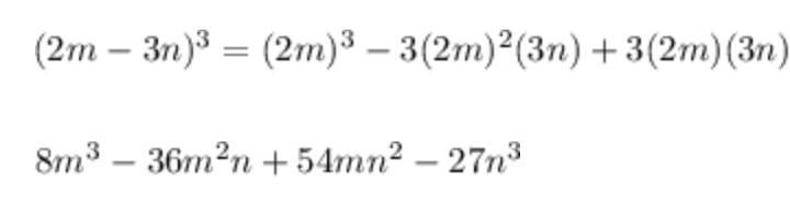
(2m-3n)³ решите уравнение​

Ответы

Ответ дал: ptitsynaae
2

Ответ:

Извини если не правильно

Приложения:
Вас заинтересует