• Предмет: Алгебра
  • Автор: Зяблик94
  • Вопрос задан 10 лет назад

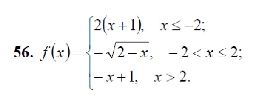
Задана функция y = f (x). Найти точки разрыва функции, если они существуют. Сделать чертеж.

Приложения:

Ответы

Ответ дал: Dolgoryki
0
Я не знаю точно, но вроде -2, это  устранимая точка разрыва, а 2, это тока разрыва первого рода.(устранимая и 1-ого рода, они отличаются на графике)
Ответ дал: Зяблик94
0
спасибо
Вас заинтересует