2, 4, 6 С РЕШЕНИЕМ, СРОЧНО!!!!!!!!! даю 40 баллов
Приложения:

zhanek02:
БЫСТРЕЕ
Ответы
Ответ дал:
1
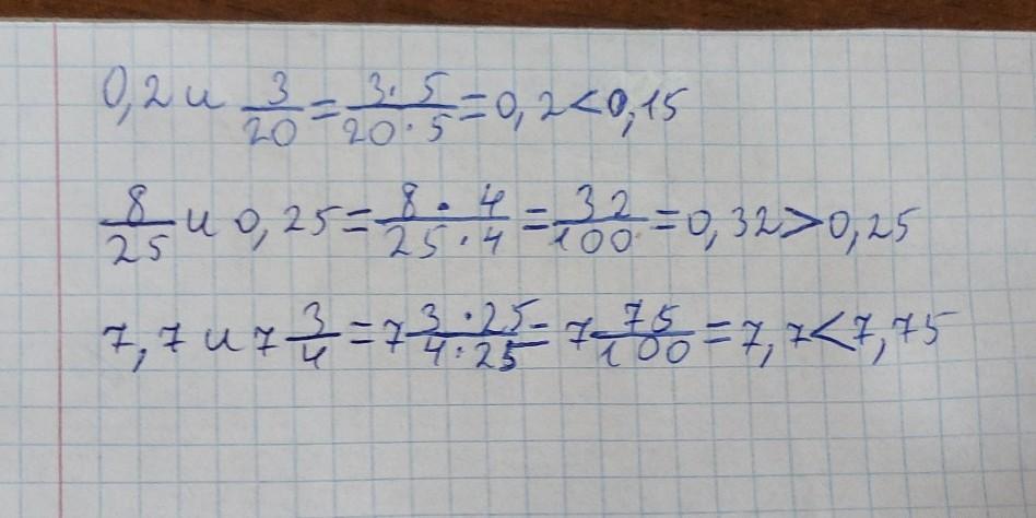
Ответ:
На фото
Пошаговое объяснение:
Всё правильно, проверено учителес
Приложения:

Вас заинтересует
2 года назад
2 года назад
2 года назад
2 года назад
8 лет назад
8 лет назад
9 лет назад