• Предмет: Алгебра
  • Автор: 89041292448mak
  • Вопрос задан 3 года назад

Срочно!!
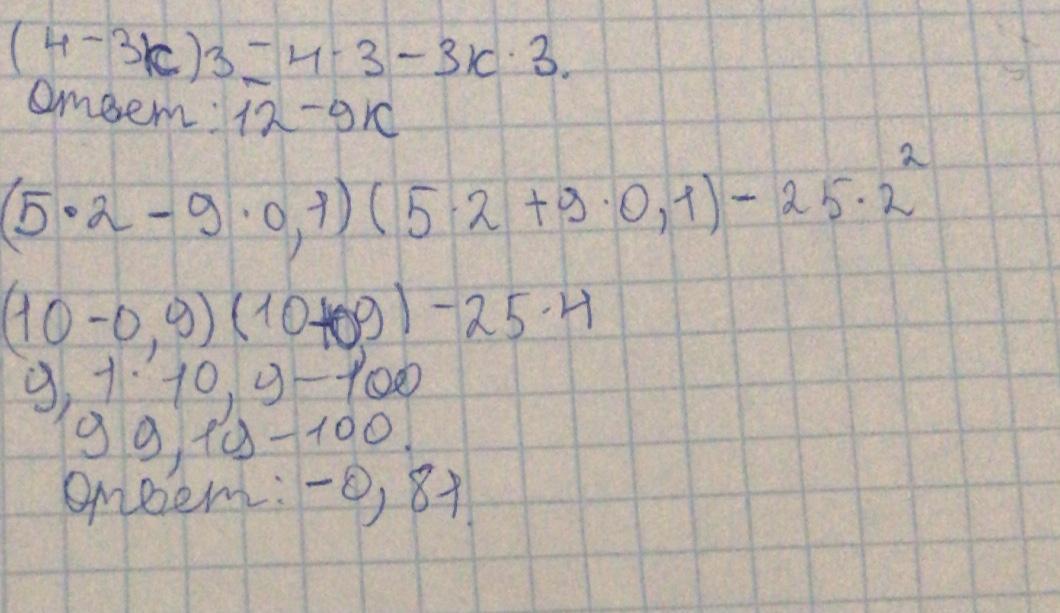
Найди значение выражения: (5x−9y)⋅(5x+9y)−25x^2,

если x=2 и y=0,1


kberkinbayeva: ты можешь отметить меня лучшим если поможет?

Ответы

Ответ дал: kberkinbayeva
3

Ответ:

пожалуйста отметь лучшим если поможет

Объяснение:

Приложения:
Вас заинтересует