• Предмет: Математика
  • Автор: Bimed
  • Вопрос задан 3 года назад

Вычислите интеграл. Даю 10 баллов

Приложения:

Ответы

Ответ дал: Persisten
1

Пошаговое объяснение:

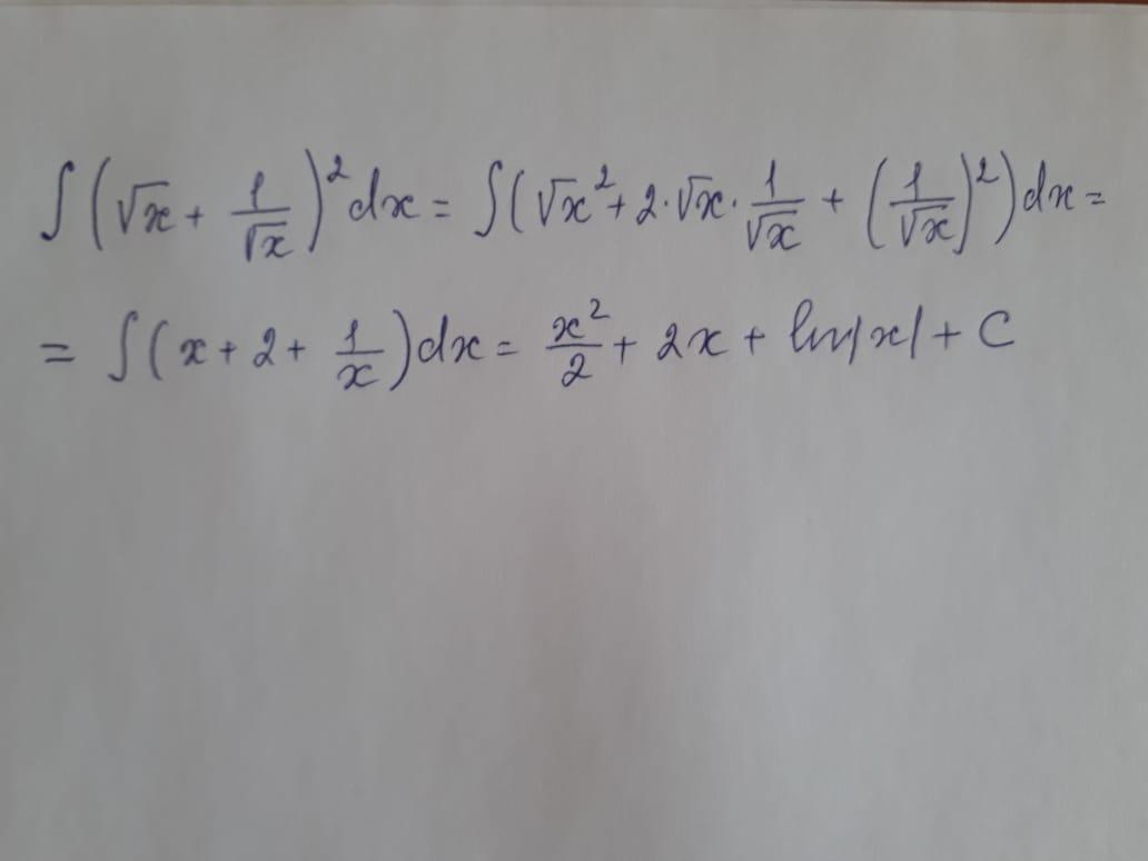
∫(x+ ((2√x)/√x) + 1/x)dx

∫(x+2+1/x)dx

∫(x)dx + ∫(2)dx + ∫(1/x)dx

(x^2/2) + 2x + ln|x| +C, С∈R

Ответ дал: Helper722
1

Ответ:

Пошаговое объяснение:

Приложения:
Вас заинтересует