• Предмет: Алгебра
  • Автор: kostrominegor1343
  • Вопрос задан 3 года назад

Очень срочно!!!1! хватит и 4 задач кто первый решит отмечу лучшим!!!!

Приложения:

Ответы

Ответ дал: Miroslava227
0

Ответ:

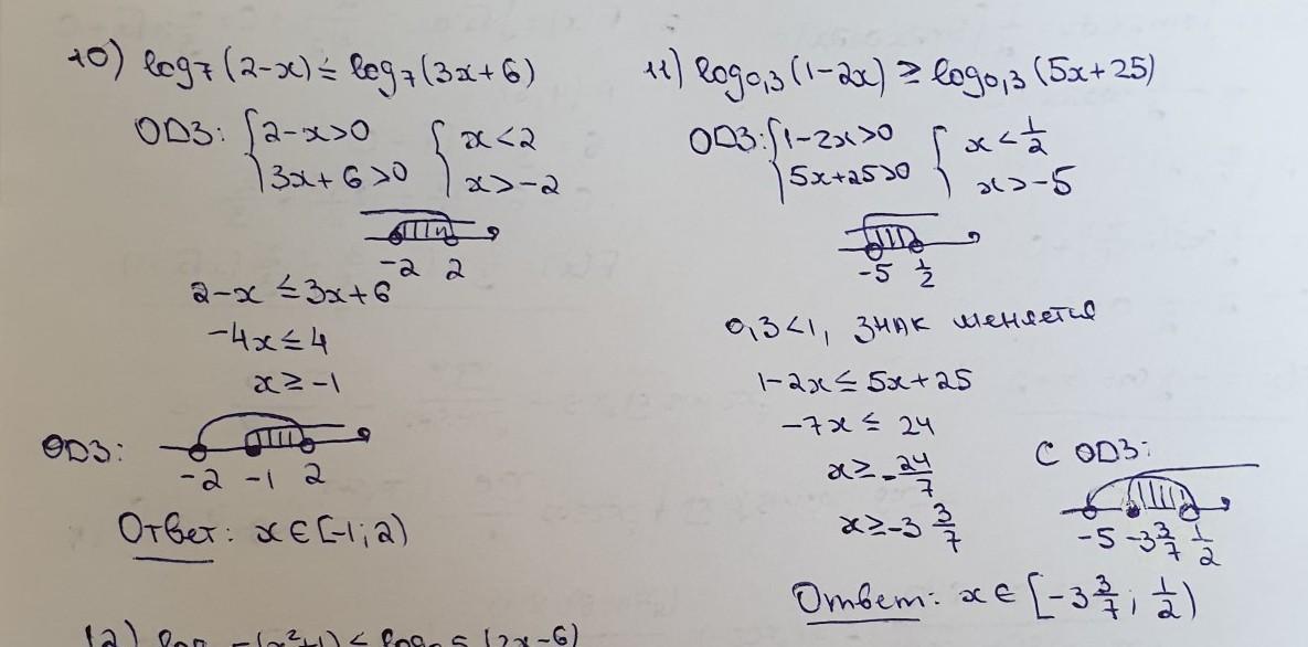
решение на фотографиях

Приложения:

NNNLLL54: в 5 примере минус между логарифмами
Ответ дал: NNNLLL54
0

1)\ \ log_{7}(2-x)\leq log_7(3x+6)\ \ ,\ \ ODZ:\ -2<x<2\ ,\\\\7>1\ \ \to \ \ \ 2-x\leq 3x+6\ \ ,\ \ 4x\geq -4\ \ ,\ \ x\geq -1\\\\Otvet:\ \ x\in [-1\ ;\ 2\, )\ .\\\\\\2)\ \ log_{0,3}(1-2x)\geq log_{0,3}(5x+25)\ \ ,\ \ ODZ:\ -5<x<\dfrac{1}{2}\ ,\\\\0<0,3<1\ \ \to \ \ \ 1-2x\leq 5x+25\ \ ,\ \ 7x\geq -24\ \ ,\ \ \ x\geq -\dfrac{24}{7}\frac{x}{y} \ \ ,\ \ x\geq -3\dfrac{3}{7}\\\\Otvet:\ \ x\in \Big[-3\dfrac{3}{7}\ ;\ \dfrac{1}{2}\ \Big)\ .

3)\ \ log_{0,5}(x^2+1)\leq log_{0,5}(2x-5)\ \ ,\ \ ODZ:\ x>2,5\ \ ,\\\\0<0,5<1\ \ \to \ \ \ x^2+1\geq 2x-5\ \ ,\ \ x^2-2x+6\geq 0\ \ ,\\\\D=-20<0\ \ \to \ \ \ x\in (-\infty \, ;+\infty \, )\\\\Otvet:\ \ x\in (\ 2,5 \ ;+\infty \, )\ .

4)\ \ log_{2}(x-6)+log_2(x-8)>3\ \ ,\ \ ODZ:\ x>8\ ,\\\\log_2(x-6)(x-8)>log_28\\\\2>1\ \ \to \ \ \ x^2-14x+48>8\ \ ,\ \ x^2-14x+40>0\ \ ,\ \ D/4=9\ \ ,\\\\x_1=7-3=4\ \ ,\ \ x_2=7+3=10\\\\x\in (-\infty ;\ 4\ )\cup (\ 10\ ;+\infty \, )\\\\Otvet:\ \ x\in (\ 10\ ;+\infty \, )\ .

5)\ \ log_{8}(x-2)-log_{8}(x-3)>\dfrac{2}{3}\ \ ,\ \ ODZ:\ x>3\ \ ,\\\\log_{8}\dfrac{x-2}{x-3} >log_{8}8^{2/3}\\\\8>1\ \ \to \ \ \ \dfrac{x-2}{x-3}>4\ \ ,\ \ \dfrac{x-2-4x+12}{x-3} >0\ \ ,\ \ \dfrac{10-3x}{x-3}>0\\\\znaki:\ \ \ ---(3)+++(\frac{10}{3})---\\\\x\in (\ 3\ ;\ 3\dfrac{1}{3}\ )\\\\Otvet:\ \ x\in (\ 3\ ;\ 3\dfrac{1}{3}\, )\ .


Miroslava227: а у вас: 8 в степени 2/3 - это 4 :)
Вас заинтересует