• Предмет: Алгебра
  • Автор: anapaeve
  • Вопрос задан 3 года назад

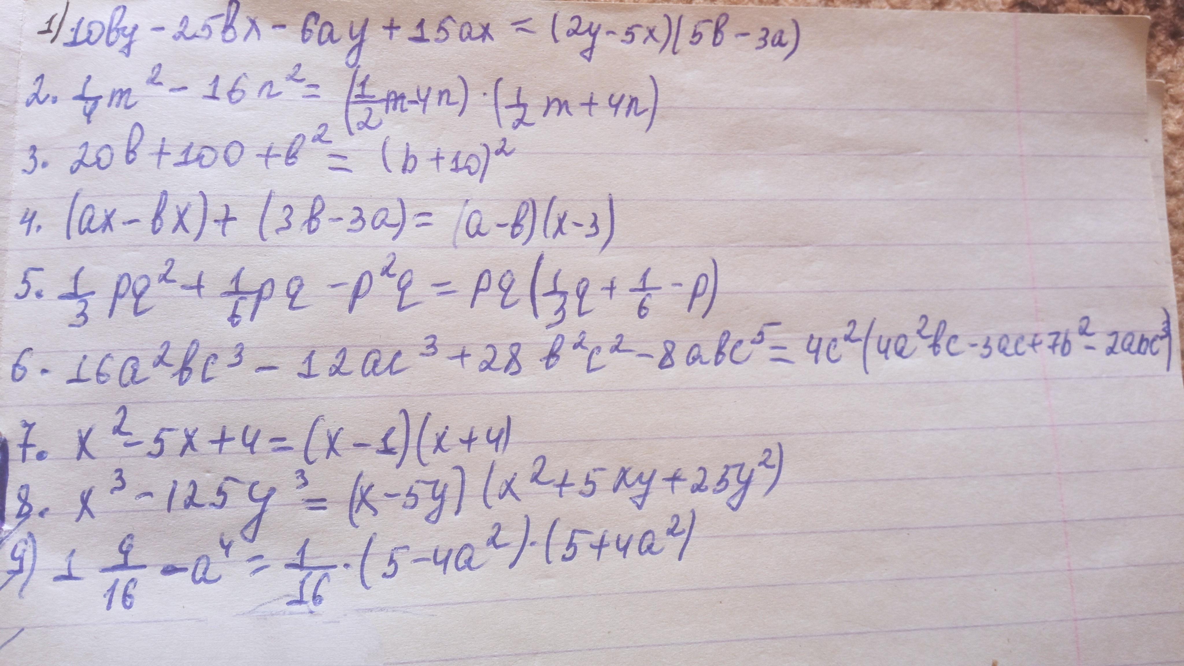
помагите разлажить на множетили​

Приложения:

Ответы

Ответ дал: zuriatagabekova
1

Ответ:

Объяснение:

Ответ

Приложения:
Ответ дал: merei62
0

Жауабы 100% дұрысрвпелшбм

Приложения:

zuriatagabekova: 4-неверно
Вас заинтересует