• Предмет: Математика
  • Автор: xcvggggmfchh
  • Вопрос задан 3 года назад

пожалуйста помогите 2 вариант
30 БАЛЛОВ ​

Приложения:

Ответы

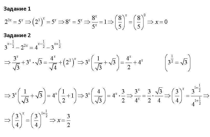
Ответ дал: mioks
0

Ответ:

Пошаговое объяснение:

решение на фото

Приложения:
Вас заинтересует