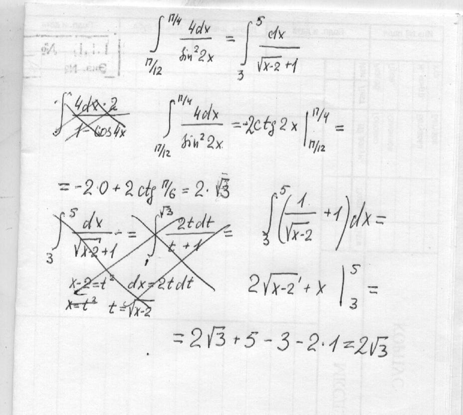
доказать тождество: интеграл от пи на 12 до пи до 4 4дэх деленая на синус в квадрате 2х=интеграл от 5 до 3(1 деленая на корень х-2 +1)дэх
Ответы
Ответ дал:
0
Решение:
Смотри вложение:.....
Смотри вложение:.....
Приложения:

Вас заинтересует
2 года назад
8 лет назад
8 лет назад
10 лет назад
10 лет назад