• Предмет: Математика
  • Автор: gasha19862509
  • Вопрос задан 3 года назад

Помогите пожалуйста надо два пункта (и) и (к)

Приложения:

Ответы

Ответ дал: parus77
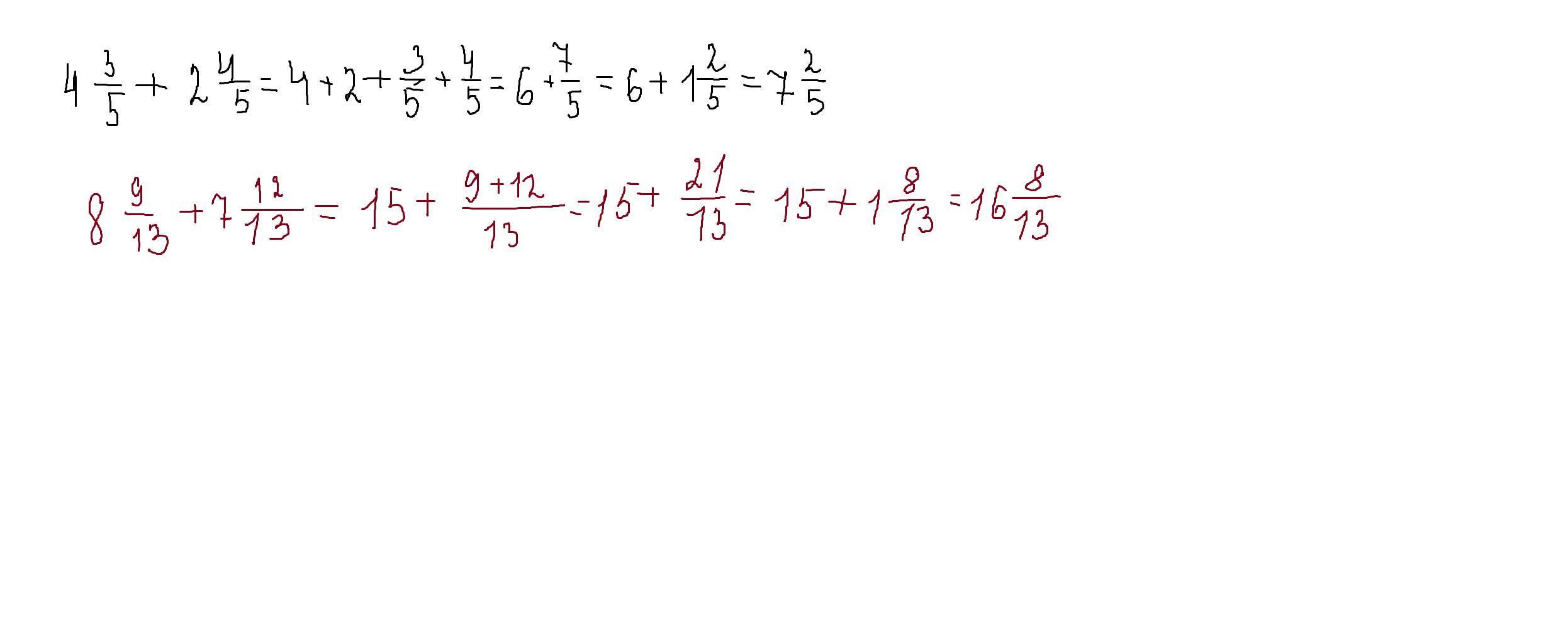
1

Ответ:

Пошаговое объяснение:

решение внизу

Приложения:
Вас заинтересует