• Предмет: Математика
  • Автор: tyushkevicha
  • Вопрос задан 10 лет назад

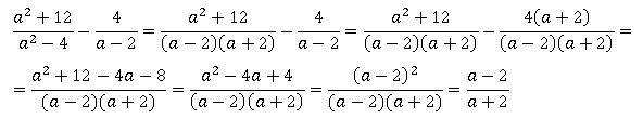
результат упрощения выражения a^2+12/a^2-4 - 4/a-2

 

Ответы

Ответ дал: Аноним
0
Решение смотрите на фотке.
Приложения:
Вас заинтересует
11 лет назад