• Предмет: Алгебра
  • Автор: znanija22228
  • Вопрос задан 3 года назад

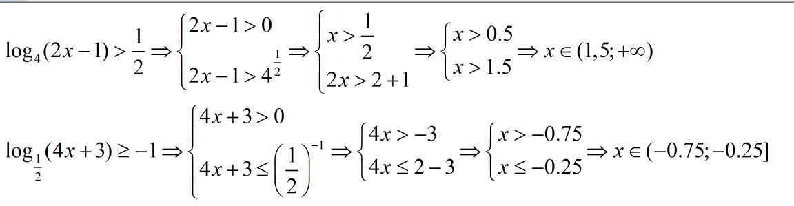
СРОЧНО!! 30 баллов! логарифм. неравенствa- решить пошагово с ОДЗ и интервалом!*

Приложения:

Ответы

Ответ дал: palilov243659
1

Ответ:

Объяснение:

/////////////////////////////

Приложения:
Вас заинтересует