• Предмет: Алгебра
  • Автор: Аноним
  • Вопрос задан 3 года назад

как это решать? есть какое-нибудь свойство или формула? помогите плиз, решите плиз. ТОЛЬКО 14 И 15!!!!

Приложения:

Ответы

Ответ дал: kirichekov
0

Ответ:

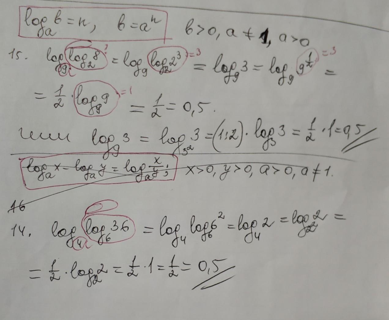
14). = 0,5

15). =0,5

Объяснение:

решение во вложении

Приложения:

Аноним: пожалуйста
Аноним: у меня завтра самостоятельная по логарифм в 9.00. поможете пожалуйста? не со всеми, только теми, которые я не знаю. пожалуйста!!!
Аноним: прошу!
Аноним: или вы на меня обиделись за грубость?
Аноним: тогда простите что была грубая
Аноним: поможете сейчас с логарифмами?
kirichekov: здравствуйте, я же не все время "сижу" на этом сайте. не видела ваших сообщений. помогу, конечно
Аноним: да ладно уж, спасибо, уже не надо. но все равно спасибо!
Аноним: хотя там есть, которые я опубликовала последние
Аноним: там просто мне не нравится решение в photomath и я подумала, может есть другое решение
Вас заинтересует