• Предмет: Алгебра
  • Автор: rusikbuster94
  • Вопрос задан 3 года назад

помогите с алгеброй даю 50 баллов ​

Приложения:

Ответы

Ответ дал: Miroslava227
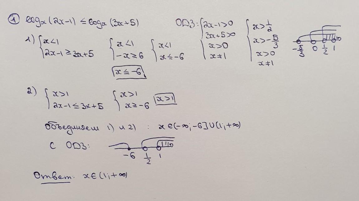
1

Ответ:

решение на фотографиях

Приложения:

danasamojlova707: Помогите с Алгеброй пожалуйста.
Вас заинтересует