• Предмет: Математика
  • Автор: Аноним
  • Вопрос задан 3 года назад

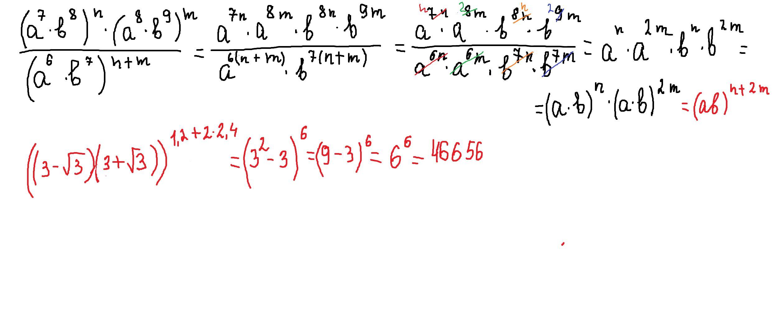
Помогите, пожалуйста, с заданием 8! Я не понимаю, как решить, эксперты, ну пожалуйста, помогите!! 5-ый раз уже пишу насчет одного и того же!

Приложения:

Ответы

Ответ дал: parus77
1

Ответ:

46656

Пошаговое объяснение:

решение внизу

Приложения:

Аноним: если вам не трудно, можете мне помочь еще с 22 и 24 заданиями, в профиле вопросы выкладывал, никто так и не ответил(
Вас заинтересует