• Предмет: Математика
  • Автор: alekseysmirnov27
  • Вопрос задан 3 года назад

РЕШИТЕ ПОЖАЛУЙСТА!СДЕЛАЮ ЛУЧШИМ ОТВЕТОМ ПОДПИШУСЬ ,ПОСТАВЛЮ 5 ЗВЁЗД ​

Приложения:

Ответы

Ответ дал: jekadva
1

Ответ:

Пошаговое объяснение:

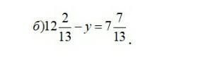
12 2/13 - y = 7 7/13

y = 12 2/13 - 7 7/13

y = 11 15/13 - 7 7/13

y = 4 8/13

Ответ дал: iramazurk
1

Ответ:

Пошаговое объяснение:

у = 12 2/13 - 7 7/13

у = 11 15/13 - 7 7/13

у = 4 8/13

Вас заинтересует