• Предмет: Алгебра
  • Автор: germany678
  • Вопрос задан 3 года назад

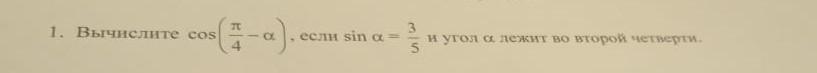
Помогите решить тригонометрию! вопрос на картинке!

Приложения:

Ответы

Ответ дал: manyny06
1

Ответ:

решение на фотографии

Приложения:
Вас заинтересует