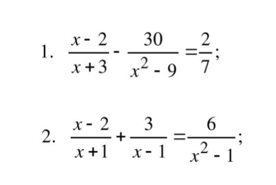
Очень срочно ! Помогите решить пожалуйста
Если можно на листике
Заранее просто огромное вам спасибо !!
Приложения:

Ответы
Ответ дал:
1
Ответ:
,....................#!!
Приложения:


ahha125:
Спасибо большое!)
Вас заинтересует
2 года назад
2 года назад
2 года назад
2 года назад
8 лет назад
8 лет назад
9 лет назад
9 лет назад