• Предмет: Алгебра
  • Автор: NickUnch
  • Вопрос задан 10 лет назад

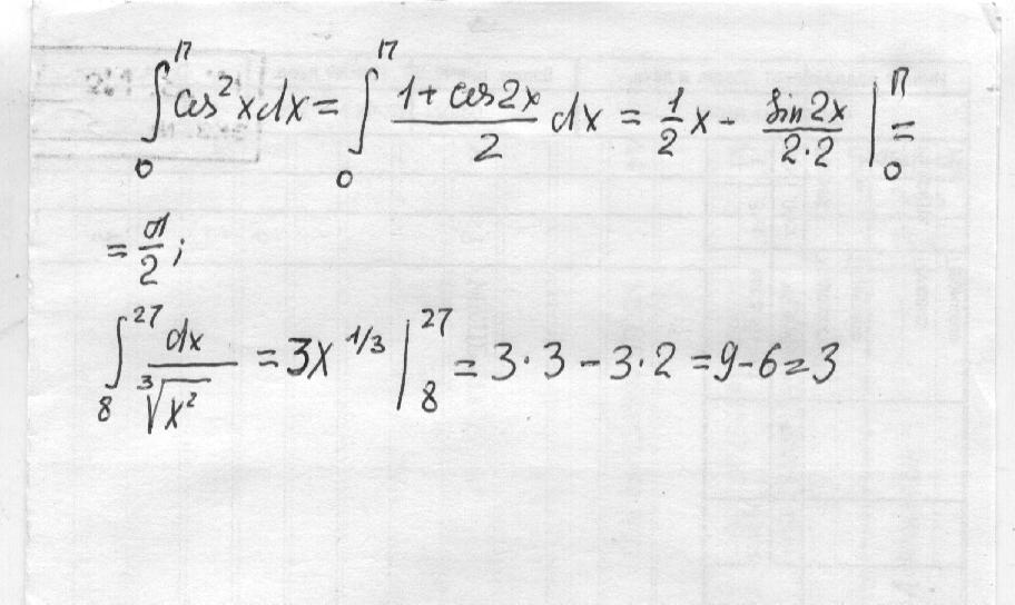
Вычислить определённый интеграл:
а) (П, 0) Cos^2x * dx
б) (27, 8) dx/корень 3 степени из икс в квадрате.

Ответы

Ответ дал: rskopov
0
                         Решение:



   Смотри вложение:....


Приложения:
Вас заинтересует