Ответы
Ответ дал:
0
Решение:
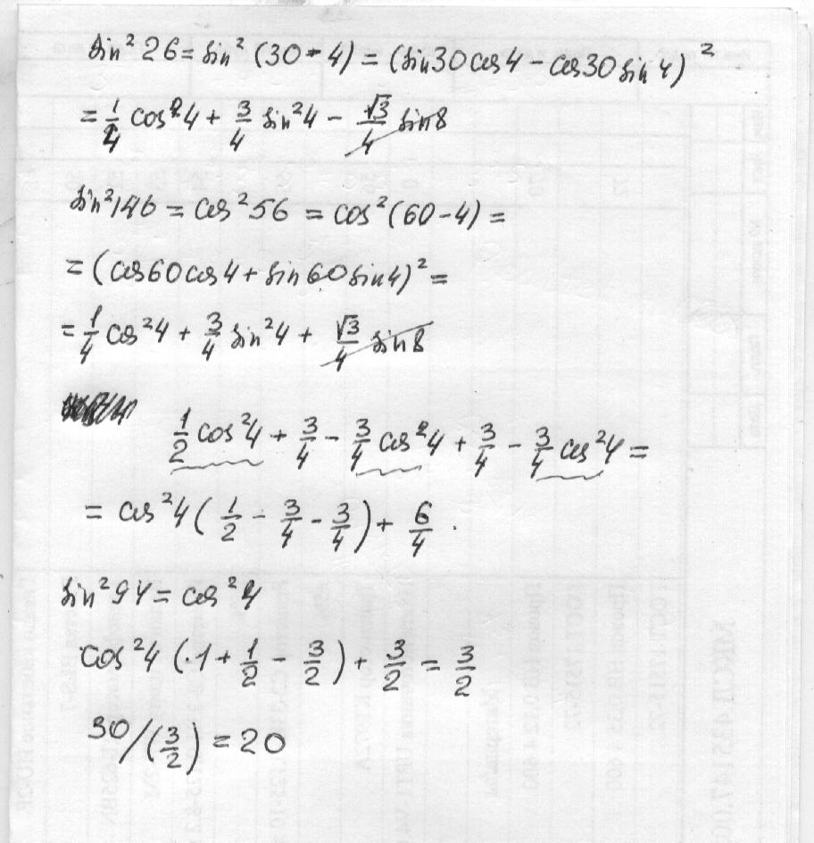
Смотри вложение:.....
Смотри вложение:.....
Приложения:
Ответ дал:
0
30/(sin^2 26º + sin^2 146º + sin^2 94º)
=30/((1-cos52)/2+(1+cos112)/2+(1+cos8)/2)=
=30(3/2+(cos8+cos112-cos52)/2)=30/(3/2+(cos8-2sin30sin82)/2)=
=30/(3/2+(cos8-sin82)/2)=30/(3/2)=20
=30(3/2+(cos8+cos112-cos52)/2)=30/(3/2+(cos8-2sin30sin82)/2)=
=30/(3/2+(cos8-sin82)/2)=30/(3/2)=20
Приложения:
Вас заинтересует
3 года назад
3 года назад
8 лет назад
8 лет назад
11 лет назад
11 лет назад