• Предмет: Алгебра
  • Автор: alisakoroliova2007
  • Вопрос задан 3 года назад

помогите пожалуйста 25 баллов
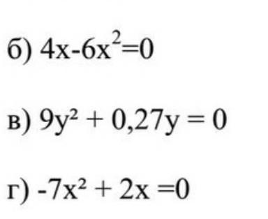
откройте фотографию там 3 примера​

Приложения:

Ответы

Ответ дал: Elo4kaw
1

Произведение равно нулю,когда один из множителей равен нулю.

1) 4х- 6х²=0

х(4-6х)=0

х=0

4-6х=0

-6х=-4

х=4/6=2/3

Ответ:(0 ; 2/3)

2)9у²+0,27у=0

у(9у+0,27)=0

у=0

9у+0,27=0

9у= -0,27

у= -0,03

Ответ:(0; -0.03)

Или:

9у(у+0,03)=0

9у=0

у=0

у+0,03=0

у= - 0.03

3)-7х²+2х=0

-х(7х-2)=0

-х=0

х=0

7х-2=0

7х=2

х=2/7

Ответ:(0 ;2/7)


alisakoroliova2007: я тупая,ничего не понимаю
Elo4kaw: Не надо на себя наговаривать всё будет хорошо. Могу поподробнее объяснить.
Вас заинтересует