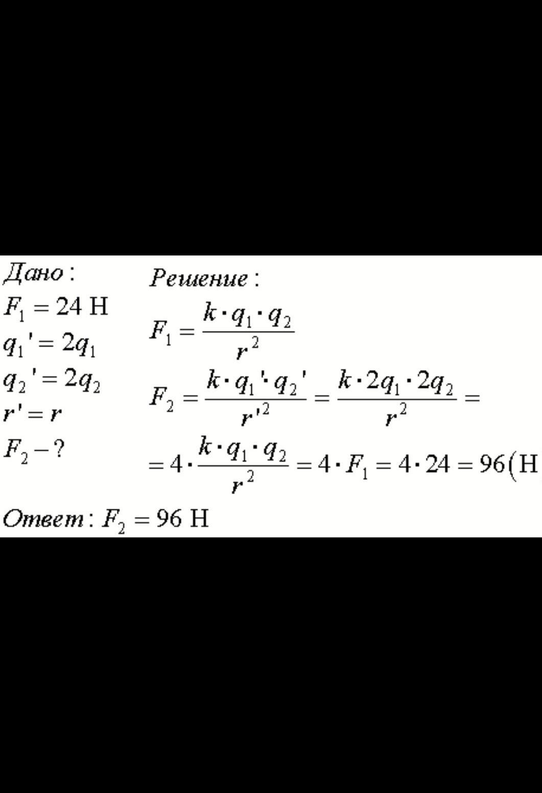
Два точечных заряда действуют друг на друга с силой F1 = 24 Н. Определите силу взаимодействия F2 между зарядами при увеличении каждого заряда в 2 раза и неизменном расстоянии между ними.
Ответы
Ответ дал:
2
Ответ:
Вот смотри на рисунок
Объяснение:
Извини если не правильно извини сразу...) А Если правильно то пожалуйста сразу....)
Приложения:

Вас заинтересует
2 года назад
2 года назад
2 года назад
8 лет назад
8 лет назад
9 лет назад