• Предмет: Алгебра
  • Автор: Munisa200
  • Вопрос задан 3 года назад

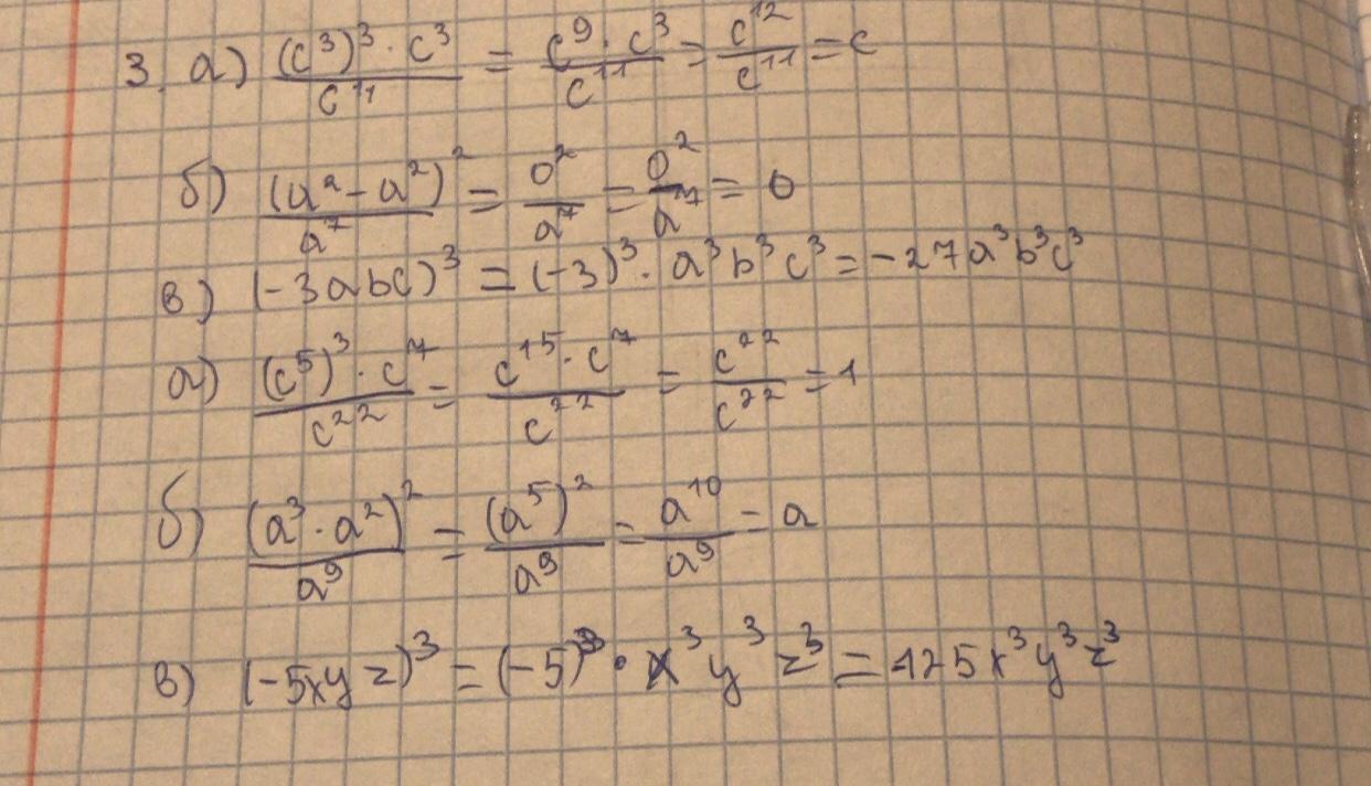
РЕШИТЕ ПОЖАЛУЙСТА!!! УМОЛЯЮ ДАЮ 50 БАЛЛОВ

Приложения:

Munisa200: НОМЕР 3
Munisa200: ТОЛЬКО НОМЕР 3 РЕШИТЕ!!
ailinkojanova: пж помогите с моим вопросом срочно подпишусь!!!!!!
kberkinbayeva: окей

Ответы

Ответ дал: kberkinbayeva
1

Ответ:

можешь отметить лучшим если поможет?

Объяснение:

Приложения:
Вас заинтересует