• Предмет: Алгебра
  • Автор: sport5
  • Вопрос задан 11 лет назад

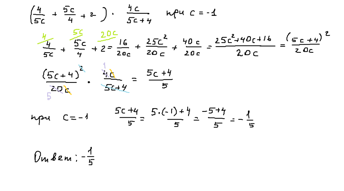
(4/5c+5c/4+2) * 4c/5c+4 при c = -1

Ответы

Ответ дал: esmilya
0
решение в прикрепленном файле
Приложения:
Вас заинтересует