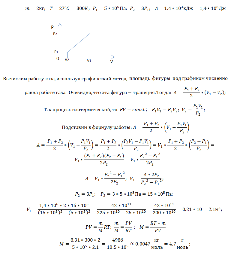
при изотермическом сжатии газа массой 2 кг, находящегося при температуре 27 град по Цельсию под давлением 5*10^5 Па, давление газа увеличивается в 3 раза. работа сжатия 1,4*10^3 кДж. Какой газ подвергался изотермическому сжатию и каков его первоначальный объём?
Ответы
Ответ дал:
0
Вот смотри решение. Объем вычислил, вроде значение нормальное вышло. А вот как определить какой это был газ-не знаю точно. Я нашел его молярную массу, но такой величины нет в таблице Менделеева, может где-то ошибся. В общем посмотри.
Приложения:

Вас заинтересует
2 года назад
2 года назад
8 лет назад
10 лет назад
10 лет назад
10 лет назад