Ответы
Ответ дал:
0
Ответ:
1. S ромба = asin, где а-сторона ромба, -угол
S = 8^2*sin150= 64*sin(180-30)=64*sin30=64*1/2=32 (см2)
2. Параллелограм АВСД, АВ=5 , ВД=7, Угол А=60
Проводим перпендикуляр ВК на АД.
Треугольник АВК, прямоугольный , угол А= 60, угол АВК=90-60=30
АК = 1/2 АВ =5/2 =2,5 , тю к лежит напротив угла 30
ВК = корень(АВ в квадрате - АК в квадрате) = корень (25 - 6,25) = корень 18,75 =4,3
В треугольнике ВКД :
КД = корень (ВД в квадрате - ВК в квадрате) = корень (49-18,75)= корень 30,25=5,5
АД = 2,5+5,5=8
Площадь= АД х ВК = 8 х 4,3 = 34,4 см2
3. S=(6+9)*3,5=52,5 см2
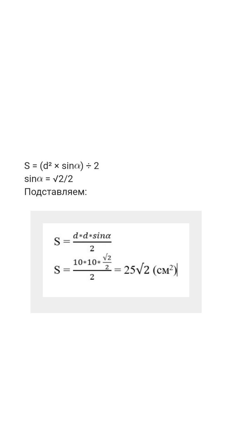
4. на фото решение
Приложения:

Вас заинтересует
2 года назад
2 года назад
2 года назад
8 лет назад
9 лет назад