• Предмет: Алгебра
  • Автор: skobsfa
  • Вопрос задан 3 года назад

помогитееее пожалуйста!!!!!! даю 10 баллов!!!!! очень срочно

Приложения:

Ответы

Ответ дал: parus77
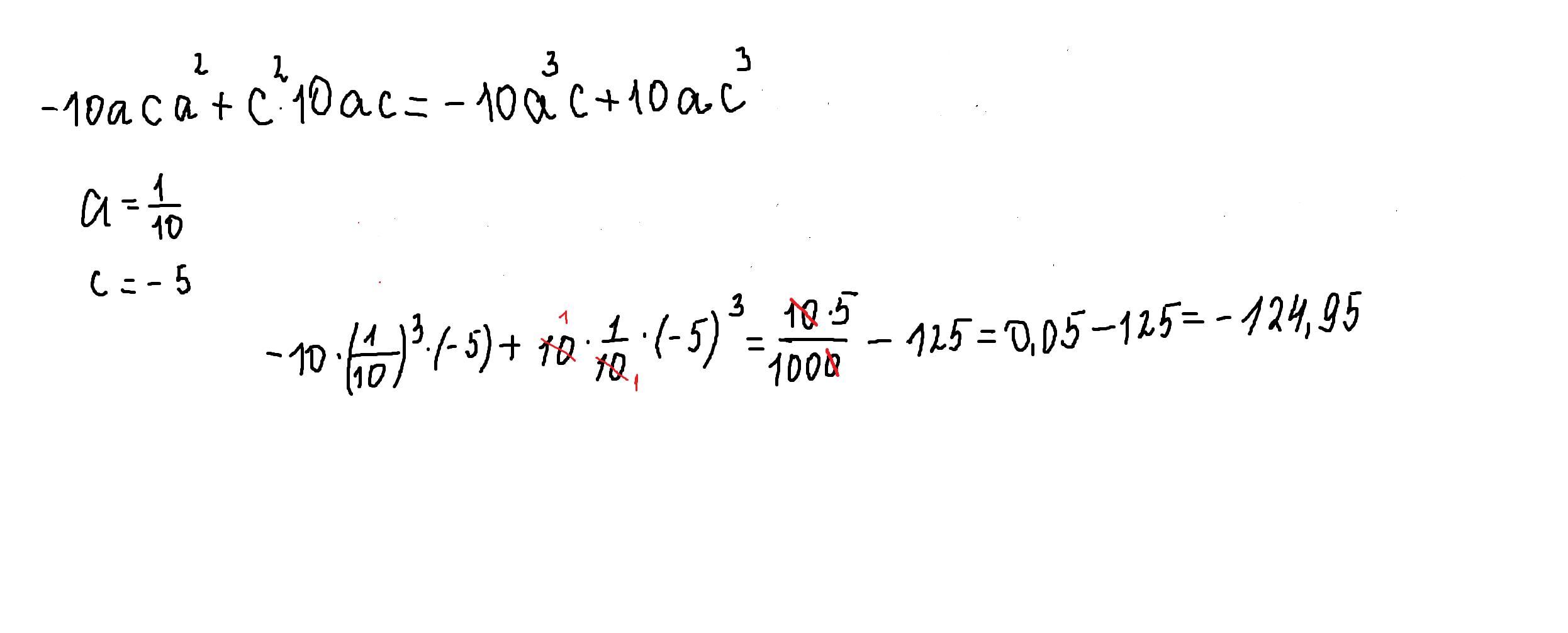
1

Ответ:

-124,95

Объяснение:

решение  внизу

Приложения:
Вас заинтересует