• Предмет: Алгебра
  • Автор: funknerviktor3
  • Вопрос задан 3 года назад

Тождественные преобразования выражений с помощью формул сокращённого умножения. Урок 1
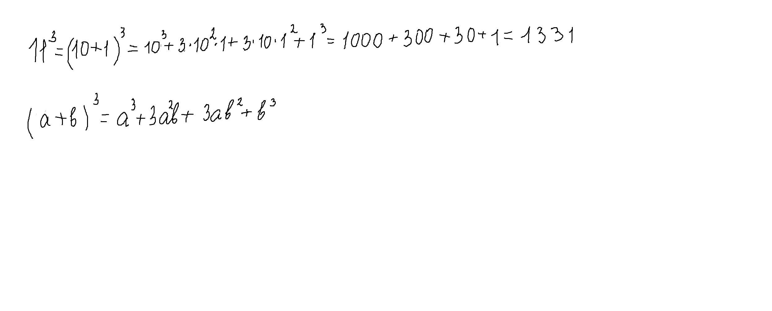
11³
1301
1221
1321
1331
1221
срочно ​


6468456486: дайте ответ лимит пожалуйста
sayanylidias: 1331

Ответы

Ответ дал: parus77
12

Ответ:

1331

Объяснение:

решение и формула внизу

Приложения:

amaya9269: правильно.
Вас заинтересует