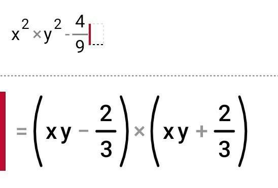
3. x²y²-4/9=(/-дробная черта)
4. 0,01с²-d⁸=
5. -1+49a⁴b⁸=
6. (3b-5)²-49=
7. a⁴-(a-7)²=
(помогите решить пж даю 70)
Ответы
Ответ дал:
0
ВОТ ОТВЕТ плииииииз лайк
Приложения:





Вас заинтересует
2 года назад
2 года назад
8 лет назад
8 лет назад
9 лет назад