Тема: Перпендикулярность прямых и плоскостей.
Решите:
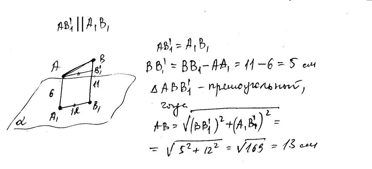
Отрезок AB не пересекает плоскость α через точки A и B проведены прямые, перпендикулярные к плоскости α и пересекающие её в точках A1 и B1 соответственно. Найдите AB, если A1B1=12 см, BB1=11 см, AA1=6 см.
(Желательно с рисункам)
Ps: спасибо.
Ответы
Ответ дал:
0
решение представлено ниже ======
Приложения:

Вас заинтересует
2 года назад
8 лет назад
8 лет назад
10 лет назад
10 лет назад
10 лет назад