• Предмет: Алгебра
  • Автор: AsiaSabirova12
  • Вопрос задан 3 года назад

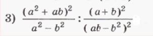
Выполнить действие
.............

Приложения:

Ответы

Ответ дал: sofimai
0

Ответ:

(а²+аb)²/a²-b²:(a+b)²/(ab-b²)²

a²/(a-b)(a+b)•b²(a-b)²

a²/a+b•b²•(a-b)

a²b²/a+b•(a-b)

a³b²-a²b³/a+b

Вас заинтересует